Criterios de Evaluación
- Habilidad para resolver problemas: Evaluar la capacidad de los estudiantes para aplicar los conceptos de trigonometría, geometría y álgebra básica para resolver problemas prácticos. Esto puede incluir problemas de distancia y ángulo, áreas y volúmenes, y ecuaciones lineales.
- Comprender y aplicar conceptos matemáticos: Evaluar la capacidad de los estudiantes para comprender los conceptos matemáticos fundamentales, incluyendo álgebra, geometría y trigonometría, y aplicarlos a situaciones prácticas. Esto puede incluir la capacidad de identificar patrones y relaciones, así como la capacidad de utilizar fórmulas y teoremas.
- Comunicación matemática: Evaluar la capacidad de los estudiantes para comunicar sus ideas y razonamientos matemáticos de manera clara y efectiva. Esto puede incluir la capacidad de presentar argumentos lógicos y razonamientos deductivos de manera clara y ordenada, así como la capacidad de trabajar en equipo para resolver problemas y presentar soluciones.
Potenciación
Es la operación en la cual la cantidad llamada base se debe multiplicar por ella misma las veces que lo indique el exponente.
an = a * a * a…, donde a es la base y n el exponente
Ejemplo: Desarrollar x4
Al ser el exponente 4, la base x se multiplica 4 veces ella misma:
x4 = x * x * x * x
Por consiguiente, cuando se tiene x4, es lo mismo que si se multiplica 4 veces la base x.
Ejemplo:
Conceptos Fundamentales
La geometría es una rama de las matemáticas que se enfoca en el estudio de las propiedades y las relaciones entre puntos, líneas, ángulos, figuras planas y figuras tridimensionales. En otras palabras, se trata de la ciencia que se ocupa de la medición y la descripción de formas y tamaños. Las aplicaciones prácticas y cotidianas de la geometría son muchas y variadas. Algunas de ellas son:
- Arquitectura y construcción: Los arquitectos y los ingenieros utilizan la geometría para diseñar edificios y estructuras, y para calcular las dimensiones y las proporciones de los mismos.
- Diseño de objetos: Los diseñadores de objetos como muebles, vehículos y utensilios también utilizan la geometría para crear formas y tamaños adecuados a la función del objeto.
- Cartografía: La cartografía es la ciencia que se encarga de la elaboración de mapas, planos y cartas náuticas, y para ello se utilizan conceptos y técnicas de geometría.
- Navegación: La navegación aérea y marítima también se apoya en la geometría para calcular rutas, distancias y ángulos.
- Ciencias naturales: En ciencias como la física, la química o la biología, la geometría es fundamental para entender la estructura y el comportamiento de las moléculas, las células y los sistemas físicos.
- Arte y diseño gráfico: En el arte y el diseño gráfico, la geometría es un recurso fundamental para la creación de formas, patrones y composiciones equilibradas y armónicas.
- Tecnología: La geometría es una parte importante de la tecnología moderna, especialmente en la industria del software, donde se utilizan algoritmos de geometría computacional para la creación y el procesamiento de imágenes, animaciones y efectos especiales en 3D.
Punto: Según Euclides “Punto es lo que no tiene partes”, para evitar confusiones al dar una definición más compleja sólo diremos que la idea de punto, nos la da la marca que deja un lápiz sobre el papel, tan pequeña que carece de dimensión.
Línea recta: Sucesión infinita de puntos que tienen la siguiente forma:

Semirrecta: Si se fi ja un punto C en una recta, al conjunto de puntos que le siguen o preceden se le llama semirrecta.

Segmento: Porción de recta limitada por 2 puntos no coincidentes.

Curva: Es aquella línea que no tiene partes rectas.

Arco: Porción de curva limitada por 2 puntos no coincidentes.

Figura geométrica: Extensión limitada por puntos, líneas y superficies.

Cuerpo sólido: Es todo aquello que ocupa un lugar en el espacio y posee longitud, anchura y altura.

Ángulos
Un ángulo es la abertura comprendida entre 2 semirrectas que tienen un punto en común, llamado vértice.

El ángulo se representa como ∠ A, ∠ BAC, â, o con letras del alfabeto griego. Si un ángulo se mide en sentido contrario al movimiento de las manecillas de un reloj, entonces es positivo, si se mide en el mismo sentido entonces será negativo.
Medidas
Los ángulos se miden en grados o radianes de acuerdo al sistema.
Sistema sexagesimal
Este sistema de medir ángulos es el que se emplea normalmente: la circunferencia se divide en 360 partes llamadas grados, el grado en 60 partes llamadas minutos y el minuto en 60 partes que reciben el nombre de segundos.
1° = 60’; 1’ = 60”
Ejemplos: A continuación se dan 3 números en sistema sexagesimal:
a) 45°
b) 21° 36’
c) 135° 28’ 32”
Relación de conversión
Es la relación que existe entre los grados, minutos y segundos de un ángulo expresado en sistema sexagesimal.

De acuerdo con la gráfica, se establecen las siguientes condiciones de conversión:
- Para convertir de una unidad mayor a una menor se multiplica por 60 o 3 600, según sea el caso.
- Para convertir de una unidad menor a una mayor se divide entre 60 o 3 600, según sea el caso.
Ejemplo: Convierte 19° 47’ 23” a grados.
Los minutos se dividen entre 60 y los segundos entre 3 600:

Por tanto, 19° 47’ 23” equivalen a 19.7897°
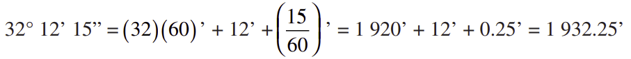
Ejemplo: Convierte 32° 12’ 15” a minutos.
Los grados se multiplican por 60 y los segundos se dividen entre 60:

Operaciones con Ángulos
Ejemplo: Convierte 45.5638° a grados, minutos y segundos
La parte decimal de 45.5638° se multiplica por 60 para convertir a minutos:

La parte decimal de los minutos se multiplica por 60 para obtener los segundos:

Ejercicios:
- Convierte los siguientes ángulos a grados: 40° 10’ 15”
- Convierte los siguientes ángulos a grados: 61° 42’ 21”
- Convierte los siguientes ángulos a grados: 1° 2’ 3”
- Convierte los siguientes ángulos a grados: 73° 40’ 40”
- Convierte los siguientes ángulos a su equivalente en grados, minutos y segundos: 40.32°
- Convierte los siguientes ángulos a su equivalente en grados, minutos y segundos: 61.24°
- Convierte los siguientes ángulos a su equivalente en grados, minutos y segundos: 18.255°
- Convierte los siguientes ángulos a su equivalente en grados, minutos y segundos: 29.411°